What is Rachel Reeves’ second-biggest revenue-raising policy so far?
As well as being a question for the most niche pub quiz ever, It’s something that would be near-impossible to guess from the public debate in the run up to this year’s Autumn Budget.
The largest is clear: the controversial 2024 increase in Employers’ National Insurance Contributions, expected to raise an extra £24-26 billion a year. The second-largest, though – is it non-dom tax reform? School fees VAT? The ‘farm tax’?
All of these have generated huge political heat over the last year. But in fact the extra revenue they are each expected to generate is dwarfed by an almost entirely undiscussed policy: a plan to boost HMRC by recruiting an extra 5,500 people into the tax authority’s compliance departments – around a 20 percent increase – to recoup more missing tax, especially from wealthy taxpayers and undeclared offshore income; and funding 2,400 staff to chase taxpayers’ tax debts to HMRC, which now stand at over £40 billion, double the figure before the pandemic.
Together, these policies announced in Autumn 2024 and Spring 2025 are expected to recoup an extra £15.5 billion of unpaid tax over the course of this Parliament, including £5.5 billion a year in extra revenues by 2029. So how is it going?
Today TaxWatch launches State of Tax Administration 2025, its annual data deep-dive into the functioning of the UK’s tax authority. Using government statistics, interviews with tax stakeholders, and extensive Freedom of Information requests, this year’s report finds that although HMRC appears to be protecting more avoided and evaded tax than ever before, its landmark recruitment and capacity drive is already behind schedule. In the run-up to a make-or-break Autumn Budget expected to fill a fiscal ‘black hole’ with tax rises and further tax compliance measures, our new report raises questions about the Chancellor’s existing revenue projections, which depend significantly on boosting HMRC’s ability to recover missing tax revenue.
According to recruitment figures obtained by TaxWatch via Freedom of Information, HMRC has so far recruited just 744 of the promised 5,500 new compliance staff. That in itself is not too far behind schedule. But only 26 are experienced staff who are already operational (0.4 percent of the promised total new staff). The rest are still in 18-month initial training. Moreover, it now appears that only 1,200 of the 2,700 debt management staff described as “additional” by ministers will actually be new, additional staff. As of September 2025, none had yet been recruited.
Assuming that the new recruits recover as much missing tax per staff member as HMRC forecasts they will, TaxWatch estimates that this slow rate of recruitment may lead to a shortfall of some £1.2 billion of expected extra revenue in 2029-30, and around £7 billion across this parliament (2024-25 to 2029-30).
Our new report also finds slow progress in tackling offshore tax evasion, which this year’s Spring Statement promised will be a new priority of the UK’s tax authority. HMRC has recovered just £821m in missing tax and penalties in the last seven years from global agreements that reveal UK taxpayers’ offshore bank accounts – on average less than 40 percent of the tax that HMRC estimates was due annually from this undeclared offshore account income. Penalties introduced in the wake of the Panama Papers in 2017 to tackle enablers of offshore tax evasion have still never been used.
Overall, activities to chase taxpayer non-compliance after the fact – compliance checks, investigations and prosecutions – are all still below pre-pandemic levels. Prosecutions for tax fraud in 2024-25 were less than half the number in 2019-20, though charging decisions have nearly regained pre-pandemic levels.

HMRC is increasingly getting big things right. HMRC’s ‘compliance yield’ has more than recovered from its pandemic dip: it reached £48 billion in 2024-25, up 15 percent from the previous year, and an increase of 30 percent from 2019-20.
HMRC is tackling some huge tax evaders: ‘compliance yield’ statistics indicate that its wealthy customer compliance teams and Fraud Investigation Service have brought in several nine- or ten-figure compliance cases in the last few years.
It’s making better use of data to identify tax non-compliance – though new figures we’ve obtained show that HMRC’s ‘nudge’ campaigns to encourage UK taxpayers identified in offshore leak data to disclose undeclared income have been relatively unproductive.
Nonetheless funding HMRC remains extremely good value for money: in 2024-25, every pound spent on HMRC’s compliance functions delivered £23 in additional tax revenues.

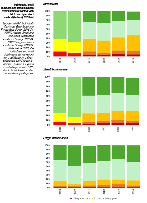
But some areas of everyday and automated tax enforcement are either alarmingly error-prone, or are hitting smaller taxpayers hardest. Around half of all taxpayers’ complaints to HMRC about their treatment were fully or partially upheld last year, a 42 percent increase from pre-pandemic levels. Where taxpayers queried automatic penalties – for late payment or late submission of a tax return, for instance – over two-thirds found that HMRC had incorrectly applied the penalty. There were 70,000 such appeals last year, a five-fold increase since 2019. (This is alarming, because some 100,000 late-filing penalties are given every year to low-income individuals who owe no tax at all. In the worst cases, where mental health or other problems prevent individuals from paying, these can spiral to five-figure sums). One in ten individuals and small businesses surveyed by HMRC reported in 2024 that the tax authority had made an error in their dealings with them, though this is down from 18 percent in 2023.

This is having a knock-on effect on taxpayer’s confidence that HMRC is treating them fairly. Only 27 percent of surveyed individuals who interacted with HMRC in 2024 agreed that “HMRC applies penalties and sanctions fairly to all taxpayers” – a historic low. Whether justified or not, just 30 percent of individuals surveyed last year agreed that “HMRC would admit if they made a mistake”. And only 52 percent of individuals who dealt with HMRC reported a good experience last year. This is an eight-year low.

Some of HMRC’s infrastructure to administer the tax system is also creaking. Its famously long call-wait times are down slightly, responding to an additional £51 million of funding, but are still more than 4 times longer than in 2016. In 2024-25, taxpayers collectively spent 1,186 years waiting for HMRC to answer the phone. 20 percent of their calls were never answered at all.

Meanwhile HMRC’s systems are about to face perhaps their biggest test in a generation. Next April, HMRC will start to change how nearly 3 million self-employed businesses and landlords do their taxes – the ‘Make Tax Digital’ programme for Income Tax Self-Assessment. As our report shows, a few months ago HMRC increased the projected costs of this long-term programme by 60% and shrunk its expected revenue benefits by £2bn. And although in less than 6 months’ time, nearly a million taxpayers must start using software to file tax returns with HMRC (and will be fined if they don’t), TaxWatch has confirmed that some of HMRC’s systems to interface with taxpayer software still don’t retain data, and can’t yet be fully tested.
Call waiting times and penalty errors may seem trivial. But this government’s tax and spending plans are unusually dependent on running HMRC ‘hot’, on every level, to recover missing tax and shrink the debt burden. That requires systems that work properly – and taxpayers trusting that they work.
Boosting HMRC’s staffing and systems can only be a good thing for the health of our tax system in the long run. But the government needs to be honest about how long it will take for new staff and new systems to generate extra tax revenues. If these staff and systems are to recover or safeguard more tax revenues, then HMRC’s infrastructure for communicating with taxpayers and managing their information desperately need improvement. Improving them will be made harder by the 1.5% annual real budget cut that HMRC received in this year’s Spending Review, including the deepest capital spending cuts (24%) of any Whitehall department.
More broadly, HMRC needs to convince individual taxpayers and small businesses, in particular, that they are being treated fairly. Not just fairness and taxpayer satisfaction, but closing the Chancellor’s ‘black hole’, may depend on it.
This is TaxWatch’s fourth annual look at the UK’s tax administration, and we strongly welcome suggestions for improvement or additions to our metrics and analysis. The majority of the data underlying this report come from HMRC itself — either via published statistics or on request via Freedom of Information disclosures. While there are some important areas where HMRC still systematically refuses disclosure – particularly around the use of powers and penalties, and its estimates of offshore tax evasion – overall this report is testament to HMRC’s extensive transparency about its operations.
Click below for the full State of Tax Administration 2025 report.
Full report


